小苏打加什么可以除水锈(除锈用什么东西最好)
小苏打加什么可以除水锈(除锈用什么东西最好)
在我们日常生锈中,电气设备经过长时间的风吹雨晒,在其外壳上总是会出现锈迹斑斑,慢慢的分化而损坏。但有些铁制东西生锈了我们想让它恢复原样怎么办,接下来,我们就来了解一种除锈方法——电解除锈。

除锈用什么东西最好
可乐和碳酸饮料除锈效果好。
采用化学、电化学、机械等方法去除装备及其零部件表面氧化物的技术。常用的除锈方法有化学除锈、电化学除锈、喷砂除锈、手工除锈和滚光除锈等。
应用电弧喷涂等技术对装备零部件表面进行防腐、耐磨或防滑等处理前,通常采用喷砂除锈方法进行预处理;对装备零部件进行电镀、电刷镀处理前,通常采用电化学除锈方法。
常用的除锈方法有:
①化学除锈。又称浸蚀、酸洗。利用酸性溶液(或碱性溶液)与金属表面锈层发生化学反应使锈层溶解、剥离而被除去。
②电化学除锈。分为阳极除锈法和阴极除锈法。阳极除锈法,利用阳极的电化学溶解和化学溶解及氧气泡析出时对锈层的机械剥离作用进行除锈。由于氧气泡大而稀少,剥离作用不强,零件容易产生过腐蚀现象。
阴极除锈法,利用氢气的还原反应和氢气泡析出时对锈层的机械剥离作用进行除锈。氢气泡密而小,剥离作用强烈,且不腐蚀零件金属,但易造成氢脆和杂质在零件表面的沉积。
电解除锈操作方法
电解除锈原理
1、电解除锈原理就是给溶液通上直流电,让连接的阴极和阳极发生化学反应,在生锈的东西上产生氢气气泡,经过气泡的膨胀破裂,从而让铁锈剥落并被溶解。
2、电解除锈,实际上就是进行氧化还原反应的原理,达到去除锈迹的目的。

3、电解除锈就是是一种利用低压电流与电解质溶液配合,将表面锈迹清除的化学反应。
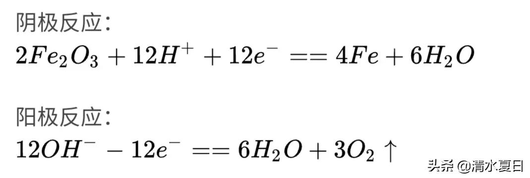
4、电解除锈化学方程式:

电解除锈的方法
实际上电解除锈的方法很简单,只要将一定比例的小苏打放入水中,再找一个12V的直流源(用电池即可),将电池的正极连接金属,负极连接需要除锈的东西,同时放入溶液中,通电后即可实现除锈。

电解除锈的优缺点
优点:电解除锈其实有个优点就是不会破坏产品表面外观。
缺点:但这种方式除锈比较单一,也就是只能用于去除铁锈,而不能出去其它金属的锈迹,
电解除锈注意事项
在做电解除锈时一定要注意安全,因为通电后会有电流,所以最好选用塑料容器做好绝缘。除此之外还要避免短路。

平常也有人选用砂纸进行打磨除锈,但用这种方法一定要注意你所打磨的物品的珍贵性,建议可以采用电解法除锈或其它化学除锈方法。
关于除锈,你还有其它好的方法吗,欢迎留言讨论。
-
- 四川的大学改名(四川大学是985还是211院校)
-
2023-04-03 04:38:16
-
- 紧急提醒!近期多人被拘,只因这个动作…
-
2023-04-03 04:36:00
-
- 普京签署春季征兵令:征召 14.7 万人
-
2023-04-01 20:41:03
-
- 周鸿祎宣布实行“两翼齐飞” AI 发展战略
-
2023-04-01 20:38:47
-
- 男子酒醉后杀害岳父母,化州警方通报
-
2023-04-01 20:36:31
-
- 能见度小于 500 米!广州多区发布大雾预警
-
2023-04-01 20:34:15
-
- 恭喜!中国队包揽自由式滑雪空中技巧世青赛三金!
-
2023-04-01 20:31:59
-
- 临沂特色美食前十名(临沂美食推荐大全)
-
2023-04-01 20:29:43
-
- 野猪成群横渡太平湖,村民一路护送
-
2023-04-01 20:27:27
-
- 澳大利亚有哪些城市(澳大利亚一共多少个城市)
-
2023-04-01 20:25:12
-
- 特朗普回应将被起诉:政治迫害
-
2023-04-01 20:22:56
-
- 泰国为什么叫极阴之地(泰国为什么人妖那么多)
-
2023-04-01 20:20:40
-
- 国产血糖仪十大名牌排行表(国内家用血糖仪哪个品牌好)
-
2023-04-01 06:04:00
-
- 温州高铁事故原因调查(为何车体被实地掩埋而不是被拉走)
-
2023-04-01 06:01:44
-
- 为什么要叫客家人(客家人为什么称客家人)
-
2023-04-01 05:59:29
-
- 准备好迎接危机下一幕:大量欧美中小企业将倒下?
-
2023-04-01 05:57:13
-
- 现在那个浏览器最好用(推荐5款最好用的浏览器)
-
2023-04-01 05:54:57
-
- 广东十大特产零食能带回去的(广东十大手信排行榜)
-
2023-04-01 05:52:41
-
- 为什么口水很臭(情侣接吻为何闻不到口水臭味)
-
2023-04-01 05:50:25
-
- 广州早茶排行榜前十名(老广东人最受欢迎的10款早茶)
-
2023-04-01 05:48:09



申通快递收费标准价格表2022(申通快递费用查询)
日本第一男吹神,拓也哥(男人在他口中坚持不过3秒)