身份证最后一位的X,到底该怎么读?你可能一直读错了!
身份证最后一位的X,到底该怎么读?你可能一直读错了!
身份证最后一位的X,到底该怎么读?你可能一直读错了!
如今是信息时代,无论是网络购买还是外出旅行,都离不开一张小小的身份证。如果有什么数字能烙印在记忆深处,除了圆周率3.141592653,大概就是每个人的身份证号了。
不过,人类的悲欢并不相通,对于身份证号结尾X的人而言,每次的验证和输入,都是一次考验。

图片来源:微博截图
最近,关于X的读法,还上了热搜:

图片来源:微博截图
那么,身份证号结尾的X到底是怎么回事?
身份证号的X其实起源并不远
想要明白这个“嫌疑数字”X,就要知道身份证号的一连串数字都是怎么来的。
其实,身份证出现的时间并不久远,早在建国初期,想要证明“我是我”,还得需要户口本和单位介绍信才行。
直到1984年,国务院发布了《中华人民共和国居民身份证试行条例》,第一代身份证才就此诞生。而身份证号的出现,是在1999。《国务院关于实行公民身份号码制度的决定》将其定义为:每个中国公民从出生起编定的唯一的、终身不变的身份代码。
简单来说,可以理解成是你个人独一无二的防伪码。
不过,当时的身份证号只有15位,也没有X这个符号。
X真正流通起来,是在2004年,第二代居民身份证发布。比起前一代的15位身份证号码,第二代身份证有18位,增加的正是第7、8和第18。
问题来了,既然能在法律层面公布并应用到每个人身上,就一定有它的道理,身份证号的这些数字都代表着什么寓意呢?
前6位,代表的是申领居民身份证时,常住户口所在地的行政区划代码,从省、市一直精确到区、县。很多人会在社交平台上打出110的数字,可别多想,他不一定是在求助,而是想说:我是地道北京人。
举个例子,比如朝阳群众,代码就是110105,其中11是省份代码,01是北京市辖区代码,05则是朝阳区代码。
身份证的7-14位,则很好理解,代表着一个人的出生日期。二代身份证比一代增加的7和8位就是公元纪年法的前两位。没办法,在身份证号刚刚诞生的上世纪,大家大多是19开头,没有写下来的必要,而进入新世纪,20作为年份开头人则会越来越多,如果不引入,就会带来歧义。
身份证的15-17位是顺序码,前两个是当地派出所的代码,第17位则是性别代码,通常情况而言,单数表示男性,双数表示女性。但偶尔也会有例外。
重点来了,这个从诞生至今还不到20年的第18位数字,到底代表什么呢?
其实,它是身份证的校验码,它的存在,可以让人快速检验出,身份证号是否输入有误。
X只不过是防伪码的特殊形态
身份证号的校验码,采取的是国际标准化组织ISO订立的《ISO7064:1983》中的“MOD11-2“校验码系统。
当你无意之中输错了一个字这种系统却浑然不知时,这种系统可以百分百准确地帮你检验出漏洞。
它的流程繁琐,但其实理解起来不难:
首先,要把身份证号的前17位数字,分别乘以不同的系数:7、9、10、5、8、4、2、1、6、3、7、9、10、5、8、4、2并将其结果相加。其次,用这些结果的总和除以11并得出余数。
为了在保护公民隐私的同时便于大家理解,这里以TVB版《鹿鼎记》的红人韦小宝作为案例。

根据如上法则,他的身份证号码分别乘以不同系数,会得出如下结果:

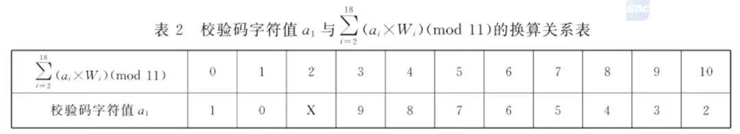
这些乘积的总和是217,除以11等于19余8。这个余数8就是我们要锁定的关键数字。
从0到10,每个余数都有它对应的数值,而这个数值也就是我们身份证号里的第18位数字了。

来源:国家标准《公民身份号码》GB11643—1999
余数8对应的校验码是4,所以,很明显可以看出,如上韦小宝的身份证号是造假的了。
而到这里,X的真面目也昭然若揭。它只不过是余数2对应的校验码而已。一共10个余数,自然也会有10个校验码,但10是二位数,会让身份证号直接过渡到19位。
为了便于信息管理,也就用罗马数字中的X来代替阿拉伯数字10了。
掌握了以上方法,你也可以试着来算一算,自己的身份证号到底是多么科学了。也难怪会有人说,学好数学,能有效反诈。
这种系统不止应用在身份证号里,按照如上方法,你甚至还能推断出自己购买的是不是盗版书籍。
因为书本的ISBN编号也称国际标准书号,同样采取这个方法。
代表着国家编码、出版社编码、类型编码的前9位数字分别乘以不同的系数,再相加,最后推导这个数是否能被11整除,假如说,还差6就可以被11整除,那这本书的第10位数,也就是校验码,最终就会被确定为6。
怎样正确读出X
关于结尾的这个X该怎么读,众说纷纭。有人会采取关晓彤把“你xx”读成“你叉叉”的同一读法,念做“叉(cha)”。还有人想洋气一些,参考国外通讯公司的读法,比如Iphone X,国外就读成i phone ten。表示第十代苹果手机。
如果追究本意,且因地制宜,可以直接把X读成10。而为了方便起见,在处理事情的时候,报身份证号,还是说大家都习惯的读法就好。无论是叉还是十,归根结底,都只是为了便于理解嘛。
参考文献
[1] 姚先锋. 如何用Excel读取二代身份证的相关信息[C].2013年度江苏省测绘学会年会论文集.,2013:123-124
[2]GA/T 448-2021 居民身份证总体技术要求. https://hbba.sacinfo.org.cn/attachment/onlineRead/a90a5a366e77dd80a07c5ef29df56bcc8fe1d92996727162f185eeff93ceaea7
[3]GB11643-1999 公民身份号码. https://c.quk.cc/3/a17/opaz1bamhhg 科普创作者
审核丨林育智 中国科普作协科学与影视融合专委会常务副主任
策划丨杨雅萍
责编丨杨雅萍
-
- 电灯是谁发明的(第一位发明电灯的发明者究竟是谁)
-
2024-04-08 22:49:04
-
- 普通鹦鹉鱼能长多大(鹦鹉鱼跟迷你鹦鹉有什么关系)
-
2024-04-08 22:46:59
-
- 牙痛、咽痛、颈背痛,有可能是心脏在给你敲警钟!
-
2024-04-08 17:20:15
-
- 野生大熊猫真实战斗力(大熊猫有多厉害为何无人敢惹)
-
2024-04-08 17:18:09
-
- “入冬套装”变“胃痛套装”?山楂和板栗混着吃会导致胃石吗?
-
2024-04-08 17:16:03
-
- 最辣的辣椒破纪录了!世界上只有5个人吃过
-
2024-04-08 17:13:57
-
- 中国最大水电站排名第一(长江三峡大坝每年的发电量多少)
-
2024-04-08 17:11:51
-
- 羽绒服上没有这几个字,再便宜也别买!超实用的羽绒服挑选指南
-
2024-04-08 17:09:45
-
- 在北方,白菜的花语是凛冬将至……
-
2024-04-08 17:07:39
-
- 30只黑壳虾多久爆缸(如何把黑壳虾快速养到爆缸)
-
2024-04-08 17:05:34
-
- 报告!你的Retreat正遭遇极端气候威胁!
-
2024-04-08 17:03:28
-
- “人工改造”的宠物,究竟是可爱还是可悲?
-
2024-04-08 17:01:22
-
- 泸州2.5升青瓷_泸州青瓷头曲
-
2024-04-08 09:01:38
-
- 红酒起泡酒是什么(起泡酒和红酒的区别)
-
2024-04-08 08:59:33
-
- 汉斯啤酒图片,汉斯啤酒图片大全
-
2024-04-08 08:57:28
-
- 贵州茅台三十年陈酿52度价格(茅台三十年陈酿酒53度价格)
-
2024-04-08 08:55:24
-
- 古井贡酒42升级版价格(古井贡酒升级版45度价格)
-
2024-04-08 08:53:19
-
- 干红和干白过期还可以喝吗?干红过期还能喝吗?
-
2024-04-08 08:51:14
-
- 干红的味道苦吗(干红味道太难喝了)
-
2024-04-08 08:49:09
-
- 传统红酒的酿造过程(法国红酒酿造过程)
-
2024-04-08 08:47:04



云南本地人为什么不会被骗到缅甸(看看真实的缅北)
中国一线男装10大品牌(盘点国内十大知名男装品牌排行榜)