出这样的题,出题人你的良心确定不会痛吗?
出这样的题,出题人你的良心确定不会痛吗?


在讲正题之前,
小天先跟大家分享一下上个周末
陪外甥女看书时看到的一个问题:

本来以为是距离最短
或者其他更有深意一点的答案,
然而,书本里的答案是这样的:

它想进哪个洞就进哪个洞!
它想进哪个洞就进哪个洞!
它想进哪个洞就进哪个洞!

尽管当时内心一万个草泥马飘过,
小天表示仍然要保持微笑,
并且耐心跟外甥女解释了
为什么老虎会进第二个山洞,
emmm……
要选择自己最喜欢的那一个。

今天,小天就跟大家回忆一下,
“那些年,让我们气到吐血的题目。”
数学篇
前段时间,
一道小学数学题刷爆了朋友圈,
家长们纷纷一试身手,
却算出了4种截然不同的答案,
最后才知道这其实是一道考眼力的题……

这道题的答案是16

说到让人吐血的小学数学题,
怎么能少得了这几大恶(dou)魔(bi)呢。

总是喜欢将小鸡和兔子装进同一个笼子的变态老农;
有若干只鸡兔同在一个笼子里,从上面数,有35个头;从下面数,有94只脚。求笼中各有几只鸡和兔?
一边注水、一边放水的疯狂泳池管理员;
游泳池里装有一根进水管和出水管,进水管3小时进水120吨,出水管2小时放水60吨,如果两根同时开放,多少小时能灌满?
分工明确、合作默契的良心甲乙包工头;
一家商店进行装修,若请甲、乙两个包工头同时施工,2天可以完成,需付给两组费用共3520元;若先请甲单独做6天,再请乙单独做62天可以完成,需付给两人费用共3480元,甲、乙两人单独工作一天,商店应各付多少元?
匀速行驶、从不晚点的劳模火车司机;
甲乙两人沿铁路相对而行,速度都是每秒14米,一列火车经过甲身边用了8秒,经过乙身边用了7秒,求火车车身长度以及火车速度。
愿意爬立方体还必须沿着最短距离的路线,从一个点到另一个点的强迫症蜘蛛;
如图所示,有一只正方体盒子,一只虫子在顶点A处,一只蜘蛛在顶点B处,蜘蛛沿着盒子准备偷袭虫子,那么蜘蛛想要最快地捉住虫子,应怎样走?

白天爬上去3米,晚上滑下来2米的偏执狂蜗牛;
有口7米深的井,有个蜗牛从井底往上爬,白天爬3米,晚上往下坠2米,问蜗牛几天能从井里爬出来?
早早出门、却故意放慢脚步,只等哥哥追上的傲娇小明;
小明家离图书馆4.8千米,他从家出发以每分钟60米的速度步行去图书馆,15分钟后,哥哥骑自行车从家出发去追小明,自行车的速度是每分钟240米。哥哥多长时间能追上小明?
故意等骑自行车匀速前进的甲出门,过了一小时才骑摩托车出去追的2B乙;
甲、乙两人从a.b两地同时出发,甲骑自行车,乙骑摩托车,沿同一条路线相向匀速行驶。出发后经3时两人相遇,已知在相遇时,乙比甲车多行驶了90千米,相遇后经1时乙到达a地,问甲乙行驶速度分别是多少?

小天去翻了一下网友们的回忆,
简直心疼到不能自已。
01
来自幼儿园大班的求助:
0,0,0,0 求24点。
一看到这个题,
估计模友都会毫不犹豫就
写出了好几个版本的答案,
(0!+0!+0!+0!)!=24
(cos0+cos0+cos0+cos0)!=24
(sec0+sec0+sec0+sec0)!=24
(0+0+0+0)'=(24)'
0+0+0+0=2-√4
等等等等。
然而,对于幼儿园的孩子来说,
他们的正确答案只会是
00:00=24点

02
小学的时候,
有一道数学题,
是计算蹬自行车多少圈可以通过大桥,
(要求四舍五入保留整数),
然后我算出的答案是202.333333……
然后我就想:哦?不是整数,
那总得把剩下的蹬完才能通过大桥吧,
于是我写了需要203圈。
正当我还在为机智的自己鼓掌时,
老师把我叫去办公室骂了一顿,
说我连四舍五入都不会!!!!
答案是202圈啊啊啊啊!
简直是坑爹啊!
202圈你骑得过去吗??
剩下的0.333333就当是不存在了嘛!!!
桥同意了嘛!!!!

03
记得小学六年级的时候,
有一道概率题,
问全世界一共195个国家,
美国参加2010年上海世博会的概率是多少。
1/195?想想我也觉得不可能,
小小年纪的我当时想着:
按照美帝的尿性怎么说也是100%吧,
于是,我就填了约为100%。
然而答案是50%因为美国可能参加,可能不参加。

04
小明去上学去的时候花了一小时,
回来的时候同样的路程和速度
为什么花了两个半小时?
因
为
两个 半小时=一小时。

05
问:假设铁路是每1米铺1根枕木,那么100米长的铁轨上应该铺多少枕木?
学渣:1米铺1根,100米不就是100根呗。。
学霸:还得考虑首尾问题,应该加1,铺101根枕木。。
学神:昂。。不一定刚好第一根枕木就铺在第0米的位置啊。。这个问题涉及到概率。。容我建个数学模型先。。
正确答案:0。因为枕木是铺在铁轨下面的。铁轨上一根也没有。

06
中学的时候,
有个同学拿着一道小学题来问我,
“如何画一条线,
把下面这个五边形分成两个三角形?”

我绞尽脑汁都想不出,
结果同学说:
这有什么难的,
把这条线画粗一点不就可以了么?

中学数学说“线”是没有宽度的,
然而小学题并不鸟这个……

07
求证:任何一个有理数a都可以写成三个有理数的立方和。
证明:


08


语文篇
小学五年级学草船借箭的时候,
我们语文老师问:
诸葛亮为什么偏偏问周瑜借船?
这种表达中心思想的问题还用问么?
足智多谋这类的词都想好了!
结果答案是:为了找曹操借箭!

考反义词的时候,
“阴” 的反义词
我毫不犹豫地写了“阳”,
结果答案是“晴”。
“寒冷”反义词,
我写了“炎热”,答案是“温暖”。
“公”的反义词,
我写了“母”,而答案却是“私”。

英语篇
记得一次英语听力考试,
有这样一段对话:
A:Can you speak English?
B:No,I can't.

还有一个就是,
内容大概就是讲
一男生问一女生会哪几种语言,
然后女生回答了德西法俄4种,
然后提问是
“How many languages can she speak?”
我当时就想啊,
哼,出题人的这么点伎俩
怎么难得倒如此机智的我,
她刚才就是用英语说的话啊,
所以肯定是选会5种语言!
结果,答案是4种!!!
于是我气冲冲地跑去跟老师理论,
结果老师淡定地回了我一句:
孩子,不要钻牛角尖!
我:。。。。???
更气人的是,
后来又有一次碰到了这题,
虽然是不服,但为了分数,
我这次选了4种语言,
结果答案是5种!!!

这让小天想起了之前看过的一个搞笑视频,
嘉宾好不容易挑战到倒数第二道题。

正当嘉宾非常紧张地调整呼吸的时候,
屏幕上弹出的竟然是如此简单的一道题!

刚开始,嘉宾毫不犹豫地选了C选项,
结果在主持人地不断忽悠下,
最终说了个A,被判答题错误!!

历史
问题:布雷顿森林体系和中国有什么关系?
标准答案(一字不差):没有什么关系。
问题:众所周知,黄兴打响了革命的第一枪,领导了黄花岗起义,那么,请问第二枪是谁开的?还有第三抢呢?
答案:都是黄兴,因为课本上有这样一句话,"黄兴朝向空中鸣了三枪揭开了黄花岗起义的序幕!"
生物
问题:为研究物质A对植物的影响,配置____A的溶液。答:含与不含
线粒体所携带DNA上基因的遗传,不符合_____分离比。
答:孟德尔
化学
问题:试管口不能对着____和____?
答案:不能对着自己和别人
问题:A和B可以相互转化,B在沸水中生成C,C在空气中可以氧化成D,D有臭鸡蛋气味,请问ABCD各是什么?
答案:鸡,鸡蛋,熟鸡蛋,臭鸡蛋

医学
问题(护理):在病房,病人突然坠床,你应该如何从护士站过去?(A慢走 B慢跑 C快走 D快跑)
作为一名救死扶伤的白衣天使,我选了D快跑,然而答案是C快走,因为快跑在医院会引起恐慌。
问题(儿科):1、缺铁性贫血的病因是什么?答案:缺铁
2、新生儿败血症的特点是什么?答案:无明显特点
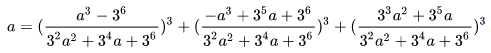
拓展训练
最后,咱们再来一道拓展题吧。


图文转载自公号:超级数学建模
编辑:刘子光


扫描下方二维码
“学林中小学试题研究室”
我在这里等你哟!

-
- 清明节 扫墓用什么花最合适?清明节时盛开的花有哪些?
-
2023-12-05 05:09:42
-
- “浪姐”张馨予的“上位史”,和她背后的3个男人
-
2023-12-05 05:07:27
-
- 读好文丨四大名著中的人物谜语,你猜对了多少?
-
2023-12-05 05:05:12
-
- 谈《剪灯新话》我国古代第一本禁书人鬼恋
-
2023-12-05 05:02:58
-
- 来看看孙俪和唐嫣,都在自己的二手交易店铺里挂了些什么?
-
2023-12-05 05:00:43
-
- 缅北为什么这么乱?为什么会成为罪恶之都?缅北犯罪集团的由来
-
2023-12-05 04:58:28
-
- 《鬼吹灯》怪物中哪一个战斗力最强
-
2023-12-05 04:56:13
-
- 海航,民营还是国企?解码海航系,万亿股权下的鸡生蛋游戏
-
2023-12-05 04:53:58
-
- 地球上那个最擅长奔跑的人
-
2023-12-05 04:51:43
-
- 手拉手模型大汇总
-
2023-12-05 04:49:28
-
- 1000万女大学生,正在援交网站找“干爹”
-
2023-12-05 04:47:13
-
- 4岁被诊断疾病,43岁奠定动画地位,又6次隐退的宫崎骏到底怎么了
-
2023-12-05 04:44:58
-
- 走向长征路的中央红军,为突破敌人第一道封锁线,到底打了哪些仗
-
2023-12-05 02:32:05
-
- 钢铁侠战甲系列全部机甲介绍,钢铁侠太帅了
-
2023-12-05 02:28:56
-
- 新疆这三个机场将正式更名
-
2023-12-05 02:26:41
-
- 初代奥特曼怪兽图鉴
-
2023-12-05 02:23:31
-
- 「冬奥会」优秀作文,12篇
-
2023-12-05 02:21:17
-
- 淮西二十四将辨析
-
2023-12-05 02:19:02
-
- 一年前的今天:卡卡正式宣布退役,公子依旧世无双
-
2023-12-05 01:32:22
-
- 一年级数学20以内加减法,重点、难点解析,凑十法和破十法
-
2023-12-05 01:30:00



翁帆的第一任丈夫照片和资料介绍,翁帆看不上普通的小职员
和谐玉溪多少钱一包?硬和谐40元一包(烟味绵长)