写给自己看的高中数学方法18、辅助角公式 小全集
写给自己看的高中数学方法18、辅助角公式 小全集

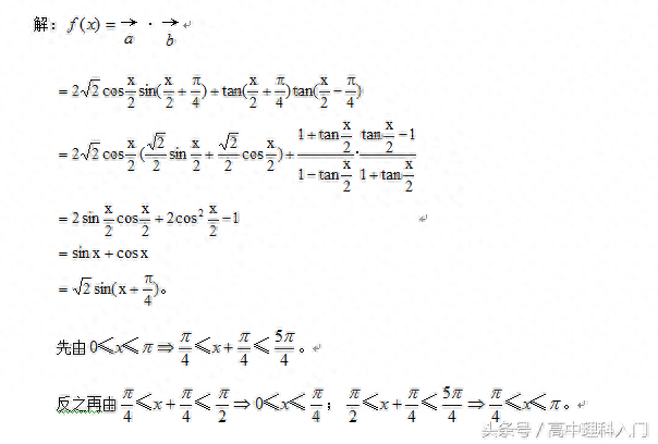
辅助角公式

辅助角公式推导

求周期

求最值

单调区间

求值域

图像对称

图像变换

三角函数求值

求系数

圆的参数方程

求最值

求轨迹

球范围

切线

椭圆的参数方程

面积的最值

椭圆最值

圆的参数方程

物理中秋最值

物理中的最值

物理中的最值
三角函数辅助角公式 书上讲的很零乱 小编把他整理了一下 供读者参考
相关标签:
-
- 想跑美团的骑手告诉你可不可以跑,能不能赚钱,真的月入过万吗?
-
2023-12-14 10:09:30
-
- 五月天专辑合集,全部23张专辑,附资源
-
2023-12-14 10:07:15
-
- 五一假期好去处 南宁横县中华茉莉园首届茉莉花开采节开幕
-
2023-12-14 10:05:01
-
- 倭刀术砍断了大明锦衣卫标配绣春刀?真的是倭刀术厉害吗?
-
2023-12-14 10:02:46
-
- 微信小游戏《消灭病毒》无限金币怎么刷?
-
2023-12-14 10:00:31
-
- 手机怎么把视频转换成音频?建议看看这种方法
-
2023-12-14 09:58:17
-
- 全运会女子专业组马拉松冠军二次涉药,河北运动员王佳丽禁赛8年
-
2023-12-14 09:56:02
-
- 盘点AJ系列最帅的3双篮球鞋!
-
2023-12-14 09:53:47
-
- 平安普惠客服电话怎么转人工24小时在线服务专线
-
2023-12-14 05:45:07
-
- 盘点那些喜欢扮猪吃老虎的动漫角色,看看你认识几个?
-
2023-12-14 05:42:53
-
- 嘉兴中考各校录取分数出炉,一中590、秀中559、嘉高577,高分年
-
2023-12-14 05:40:38
-
- 达州凤凰山,四川人的天然氧吧
-
2023-12-14 05:38:23
-
- 刺激!体彩大乐透“模拟摇奖机”隆重登场
-
2023-12-14 05:36:09
-
- 白敬亭的应援色和口号是什么 白敬亭的粉丝叫什么
-
2023-12-14 05:33:54
-
- 《震震有词》不作不会死 直播烧自己车被拘留
-
2023-12-14 05:31:39
-
- 《DNF》兰总套改版属性 兰总套改版后属性怎么样
-
2023-12-14 05:29:25
-
- 与朋友交,言而有信――选自小学年级二年级语文课本
-
2023-12-14 05:27:10
-
- 有哪些适合100人会议玩的互动游戏?
-
2023-12-14 05:24:55
-
- 英拉携子布施祈福 为13岁儿子庆生
-
2023-12-14 05:22:41
-
- 一名货拉拉司机的心里话
-
2023-12-14 05:20:26



翁帆的第一任丈夫照片和资料介绍,翁帆看不上普通的小职员
和谐玉溪多少钱一包?硬和谐40元一包(烟味绵长)