圆周角定理
圆周角定理
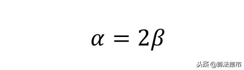
圆周角定理:一条弧所对的圆周角等于它所对的圆心角的一半。即:

根据圆周角和圆心角的相对位置关系,可分为下面三种情况:

情况一

情况二

情况三
其中,虚线为参考辅助线。根据等腰三角形的两个底角相等,可分别求证。
根据该圆周角定理,可得以下推论:
圆周角的度数等于它所对的弧度数(即该弧所对应的圆心角的弧度数)的一半;在同圆或等等圆中,同弧或等弧所对的圆周角相等,相等圆周角所对的弧也相等(同一条弧所对的圆周角有无数个,但只有一个圆心角);半圆所对的圆周角是直角,直角所对应的弦是直径。
相关标签:
-
- 武汉703路公交载满祝福:车厢内挂满乘客表白便签,洋溢着浪漫与温馨的七夕氛
-
2025-01-10 14:26:23
-
- 我,慕容云海,对着天空,对着大地,对着彩虹发誓!
-
2025-01-10 14:24:08
-
- 湖南益阳一男子为当网络主播抢夺珠宝店逃跑后开香槟庆祝抢夺成功
-
2025-01-09 21:42:05
-
- 关于死亡蓝鲸游戏:生命仅此一次,不可儿戏
-
2025-01-09 05:23:47
-
- 奥运会46个运动项目,你都了解吗?
-
2025-01-09 05:21:32
-
- 《魔鬼考卷》:无限流悬疑佳作,与魔鬼同行,能否获得永生?
-
2025-01-09 05:19:17
-
- 用开水来冲鸡蛋,更加养生?一起来看正确吃法
-
2025-01-09 05:17:02
-
- 一分钟一人头,无情猎手狮子狗:教你一分钟学会落地秒
-
2025-01-09 05:14:46
-
- 纹眉一千多和三千多的价格,纹绣师用的纹绣机器和色料有区别吗?
-
2025-01-09 05:12:31
-
- 食用佛灯果好处多,种植过程也有技巧,选择栽植的方法就是一点!
-
2025-01-09 05:10:16
-
- 绿豆丸子做法分享,还原小时候的味道
-
2025-01-09 05:08:00
-
- 京剧大师梅兰芳最全《霸王别姬》舞台照片合集
-
2025-01-09 05:05:45
-
- 顾城和妻子死后,两人唯一的儿子现在怎么样了?
-
2025-01-09 05:03:30
-
- 成飞是一个什么样的企业,在我国军工领域的地位如何?
-
2025-01-09 05:01:15
-
- 安徽这个县有个太极洞,古人称之为天下四绝之一,你去过吗
-
2025-01-09 04:58:59
-
- 15年勇士夺冠,伊戈达拉成FMVP,那追梦格林拿到什么样的数据?
-
2025-01-09 04:56:44
-
- 小缘新歌数据喜人,斗鱼造星能力果然一流!
-
2025-01-09 04:54:29
-
- 上下同欲者胜
-
2025-01-09 04:52:13
-
- 上海万圣节:一场跨越文化的创意盛宴
-
2025-01-09 04:49:58
-
- 克里斯·卡曼13年职业生涯签了5份合同,一位强硬的白人内线
-
2025-01-09 04:47:43



翁帆的第一任丈夫照片和资料介绍,翁帆看不上普通的小职员
和谐玉溪多少钱一包?硬和谐40元一包(烟味绵长)